Lumileds

Lumileds LUXEON 2835N Line of Mid-Power LEDs

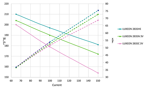
Extends mid-power performance curve

Lumileds has introduced the LUXEON 2835N, a mid-power white LED with a standard 2.8mm x3.5mm footprint which provides a new option for optimizing light output and efficacy when operating at 3V.

 

The new LUXEON 2835N product fills the performance gap between Lumileds’ LUXEON 2835C and the LUXEON 2835 HE. The three variants are relatively close in performance when operating at a drive current of 65mA – the LUXEON 2835N’s efficacy is 204lm/W. At higher currents, noticeable differences in both light output and efficacy emerge. At 100mA, the LUXEON 2835N’s efficacy is 190lm/W, and at 150mA the LED produces 72.8lm at an efficacy of 172lm/W.

 

Featuring excellent thermal characteristics, the new LUXEON 2835N offers a maximum current capability of 300mA to extend the flux options for luminaire designers.

 

The LUXEON 2835N LED offers a complete combination of color temperature and color rendering choices: both 80 CRI and 90 CRI are supported at CCT values from 1800K to 6500K.

 

The LED is supplied in a reliable package. Its LM80 lifetime values have been verified by more than 12,000 hours of test data.

 

Electrical and color consistency is assured by the tight binning specifications: the LED is supplied from four-quadrant micro-color bins, and forward-voltage bins specified in 0.1V increments.

Features

  • Industry standard footprint for drop-in replacement designs
  • 125°C maximum junction temperature
  • 120° viewing angle

Applications

  • Bike lights
  • Chandeliers
  • Decorative lighting
  • Downlights
  • Head lamps
  • Landscape lighting
  • Lanterns
  • Linear lights
  • Panel/soft lights
  • Retrofit lamps
  • Sconces
  • Surface-mount lights
  • Troffers
  • Wall grazers
  • Wall wash lighting
Lumileds — LUXEON 2835N LEDs Diagram

Share This

Subscribe to our newsletters

Subscribe to Future Electronics

Get access to the latest product information, technical analysis, design notes and more

Choose your region